内容字号:默认大号超大号

段落设置:段首缩进取消段首缩进

字体设置:切换到微软雅黑切换到宋体






又有SSTV卫星可接收,俄罗斯从国际空间站部署10颗小型业余无线电

时间:2022-08-04 来源:未知 作者:陆涛 点击:
SSTV 图片:

图片
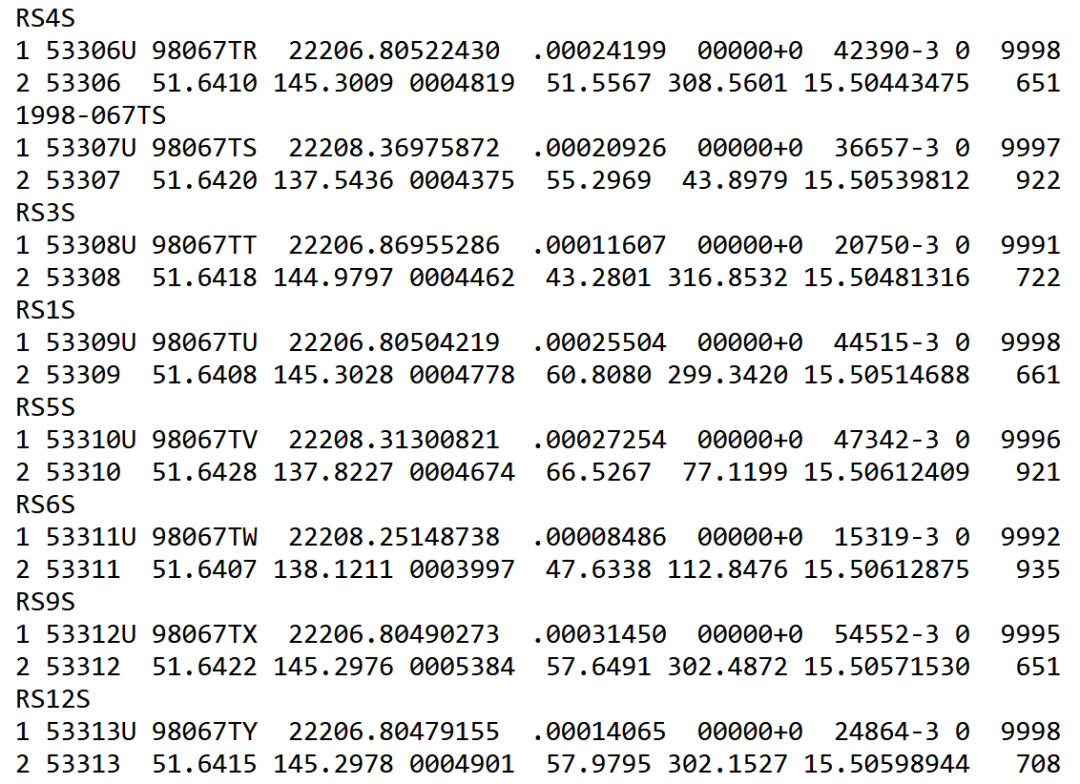
星历:
图片
图片
SWSU 系列卫星是由俄罗斯空间仪器研究所和俄罗斯西南州立大学(SWSU)的无线电电子系统部门开发的。SWSU 系列卫星的主要开发者是 Esgor Shilenkov(UB3WCL),他是西南州立大学空间仪器高级研究与发展中心技术科学候选人。
SWSU 系列卫星的任务是创建一个点对点信息网络,在网络内,向地面监测点传输信号。主要功能有三项:
1.研究地球磁场。
2.测量外层空间无线电的噪音。
3.将照片(SSTV)和语音消息(AUDIO)传输给世界各地的无线电业余爱好者。对于每颗卫星,将选择发送一个短语,该短语被翻译成 8 种不同的语言。
Tsiolkovsky-Ryazan 1 和 Tsiolkovsky-Ryazan 2 卫星具有特殊的无线电发射设备,旨在执行校准俄罗斯科学院列别捷夫物理研究所天文航天中心普希奇诺射电天文台射电望远镜灵敏度的科学任务。此外,这些卫星可以发射专门的无线电信号,以研究无线电波通过电离层时对信号传播的影响。
Частота SWSU-55 №1 & R-390 (ЮЗГУ №5)

  • 呼号: RS10S
  • 遥测: 437.050 MHz 1200 bps .AX25 AFSK;
  • 有效载荷: 437.050 MHz 1200/2400/4800 bps .AX25 AFSK, SSTV, AUDIO, TEXT;

Частота SWSU-55 №2 (ЮЗГУ №6)

  • 呼号: RS11S
  • 遥测: 437.050MHz 1200 bps .AX25 AFSK;
  • 有效载荷: 437.062 MHz 1200/2400/4800 bps .AX25 AFSK, SSTV, AUDIO, TEXT;

Частота SWSU-55 №3 (ЮЗГУ №7)

  • 呼号: RS1S
  • 遥测: 437.050 MHz 1200 bps .AX25 AFSK;
  • 有效载荷: 437.075 MHz 1200/2400/4800 bps .AX25 AFSK, SSTV, AUDIO, TEXT;

Частота SWSU-55 №4 (ЮЗГУ №8)

  • 呼号: RS2S
  • 遥测: 437.050 MHz 1200 bps .AX25 AFSK;
  • 有效载荷: 437.082 MHz 1200/2400/4800 bps .AX25 AFSK, SSTV, AUDIO, TEXT;

Частота SWSU-55 №5 (ЮЗГУ №9)

  • 呼号: RS3S
  • 遥测: 437.050 MHz 1200 bps .AX25 AFSK;
  • 有效载荷: 437.100 MHz 1200/2400/4800 bps .AX25 AFSK, SSTV, AUDIO, TEXT;

Частота SWSU-55 №6 (ЮЗГУ №10)

  • 呼号: RS4S
  • 遥测: 437.050 MHz 1200 bps .AX25 AFSK;
  • 有效载荷: 437.087 MHz 1200/2400/4800 bps .AX25 AFSK, SSTV, AUDIO, TEXT;

Частота SWSU-55 №7 & R-390 (ЮЗГУ №11)

  • 呼号: RS5S
  • 遥测: 437.050 MHz 1200 bps .AX25 AFSK;
  • 有效载荷: 437.1125 MHz 1200/2400/4800 bps .AX25 AFSK, SSTV, AUDIO, TEXT;

Частота SWSU-55 №8 (ЮЗГУ №12)

  • 呼号: RS6S
  • 遥测: 437.050 MHz 1200 bps .AX25 AFSK;
  • 有效载荷: 437.000 MHz 1200/2400/4800 bps .AX25 AFSK, SSTV, AUDIO, TEXT;

Частота Циолковский-Рязань 1

  • 呼号: RS9S
  • 遥测: 437.050 MHz 1200 bps .AX25 AFSK;
  • 有效载荷: 437.025 MHz 1200 bps .AX25 AFSK, SSTV, AUDIO, TEXT;

Частота Циолковский-Рязань 2

  • 呼号: RS12S
  • 遥测: 437.050 MHz 1200 bps .AX25 AFSK;
  • 有效载荷: 437.0125 MHz 1200 bps .AX25 AFSK, SSTV, AUDIO, TEXT。



(中国集群通信网 | 责任编辑:陆涛)

中国集群通信网,国内首家集群通信专业网站。

Copyright © PttCn.Net, All Rights Reserved.   

联系我们 联系我们 中国集群通信网 对讲机学堂 对讲机世界