内容字号:默认大号超大号

段落设置:段首缩进取消段首缩进

字体设置:切换到微软雅黑切换到宋体






警用数字集群PDT专网在地面高速移动应用中的网络优化

时间:2022-06-01 来源:未知 作者:陆涛 点击:
摘要本文通过介绍PDT通信原理、PDT网络优化原理、PDT网络优化方法等内容,采用实地测试、调研与分析的方法,深入研究PDT终端在高速运行状态下(如高铁、高速),实现快速越区切换,保证良好的通话效果,单基站下有较多数量的PDT终端用户同时入网注册时,实现所有终端的快速入网,多个交换控制中心的互联互通及终端在多个交换控制中心之间的快速漫游切换。

关键词高速铁路;高速公路;移动网络信号覆盖优化原则


一、概述

随着高速公路、高速铁路建设的不断发展,警用数字集群PDT专网也逐步对高速公路和铁路进行全面覆盖。在复杂的无线环境中,高速行进中的移动终端受到的影响越来越大。为了保障公安干警在高速公路和高速列车执勤和重大安保工作,高速移动应用中的PDT网络质量已成为亟待解决的问题。
1.1       警用数字集群PDT专网在高速移动应用中的现状
目前警用数字集群PDT专网主要的高速移动应用的场景为高速铁路和高速公路。高速铁路系统的运行速度已经达到350公里/小时,高速公路的行驶速度限制在120公里/小时。要保证高铁乘客的通信畅通和通信质量,需重点解决高速运行下PDT用户通信时发生的切换混乱、接通率低和掉话等现象,提出高速铁路移动网络质量的总体解决方案。
在高速移动通信过程中,由于通信节点处在快速移动中,噪声干扰较大,造成信号误差,引起可参与通信的节点距离特征不断变化,一旦速度过快,最优通信节点的选择不能与距离特征变化匹配,存在信号延迟错位,通信效果变差,常常出现无法接通、信号干扰、异常掉话、切换混乱等现象,严重影响网络质量和客户满意度。
1.2       高速移动PDT专网信号覆盖面临的技术难题
高速行进的列车或汽车车体密封性能好,运行速度快,车内网络质量较差,高速移动中网络覆盖具有以下的特点:
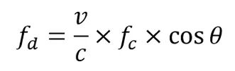
1、高速移动运行中,受多普勒频移影响明显。多普勒频移可表示为:
                           
图片
式中:
:多普勒频移;
:列车速率
:光速
:载波频率
频移大小和运动速度及运动方向相关,速度越快频偏越大。因信号入射角度关系,频移具有时变特性,合成频率在中心频率上下偏移。当列车驶向基站时,频偏为正,当列车驶离基站时,频偏为负。另外,移动的手机终端以下行频率为基准发送上行信号,因此基站接收机将承受2倍于终端的多普勒频移。
图片
多普勒频移示意图
2、高速列车穿透损耗大,车体损耗最大达到1220dB左右。为了保证车内覆盖信号强度达到-90dBm,行进中高速公路的汽车车外信号至少需要达到-80dBm左右,而行进中的在高铁车厢密闭性能更好在车外的信号需达到-70dBm左右。因此高速移动的移动终端必须有较好的信号质量。
3、高速列车运行速度快,按照现行高铁CRH3车型最高时速380km/h计算,列车每秒运行约105.6米。以PDT制式为例,根据切换算法时间的估算,完成2次快速切换的时间为56秒,为了保证切换的顺利完成,需要足够大的小区重叠覆盖距离(切换带)。
1.3       高速移动PDT专网信号覆盖难题的解决方案
为了保障公安干警使用的PTD集群终端在高速移动中具有良好的网络质量和用户体验,需对网络进行性能优化,网络优化目标如下:
1PDT终端在高速运行状态下(如高铁),实现快速越区切换,保证良好的通话效果和用户体验。
2)单基站下有较多数量的终端用户同时入网注册时,实现所有终端的快速入网。
3)多个交换控制中心的互联互通及终端在多个交换控制中心之间的快速漫游切换。

二、影响PDT网络高速移动通信质量问题分析

2.1       多普勒频移

移动通信电波在空气中传播时,受到不同的地形地貌、建筑物、气候、其它电磁干扰以及通信终端移动速度等情况影响,会呈现不同的衰落特性。主要有:随传播距离变化而导致的传播损耗,也称为远近效应;由大型建筑物或其它物体对电磁波传输形成阻挡导致的接受区域信号衰落,也称为阴影效应;传播环境的复杂多变,移动终端最终接收的信号不仅有发射台传播过来的直射波,更有周围环境中地形地物作用下产生的反射、绕射和散射波,这种来自多个路径的信号叠加,将导致严重的衰落,也称为多径效应;当终端高速移动时,会产生信号发射频率和接收频率之间的偏差,称为多普勒效应。高速移动的场景中,前三种信号衰落特性与其它普通场景类似,所以如何克服多普勒效应就成为高铁场景下保证移动通信质量的重要技术问题之一。
2.2       越区切换
终端用户在信号覆盖区内移动时从一个小区转移到另一个小区,从一个市局交换中心管辖的基站切换到另一个市局交换中心管辖的基站,必然出现跨基站跨中心切换。为了保证用户的通信质量,在用户终端高速移动的环境中切换过程必须切换时间快且切换成功有效。因此,如何设计一个快速而又可靠的切换策略和算法,是决定高速移动环境下移动网络性能好坏的一个关键因素。
2.3       无线资源
  在无线语音通信过程中,参与本次通话的很多移动台都处于移动状态,由此可能导致某些基站内没有移动台驻留、参与通话,该基站的无线信道资源处于无用户状态,如果继续保持通话状态,导致无线资源的使用浪费,同时增加系统运行的负荷。因此需要设计一个资源回收策略保障资源的有效利用。
     2.4     信道资源分配
     PDT系统最常用的业务是无线语音组呼业务,组呼业务的呼叫范围根据呼叫发起时组成员的活动范围进行动态分配,该种分配方式既可以保证有效的呼叫范围,同时也可以节省无线信道资源。因此设计一种快速分配信道资源是实现快速切换的有效方法。
     2.5     移动台快速接入
  在移动终端高并发场景下,例如大量移动台同时登记注册,在短时间内,大量的呼叫请求产生,多个呼叫请求产生碰撞在所难免,请求数量越多,发生碰撞的概率越大。一旦呼叫请求信令产生碰撞可能导致碰撞的信令都出现错误,这些请求可能不能被正确解析,导致呼叫失败。此后,移动台将根据ALOHA信令中接入参数随机延时一定时间后,重新发起呼叫请求,如此反复。如果超过一定重试次数,请求仍然不能成功,则判定本次呼叫失败。如何能够避免这些呼叫失败,需设计一种快速接入机制。

三、高速移动中PDT系统网络优化方法及优化结果

  针对移动终端在高速环境出现的问题,提出PDT系统解决切换、接通率低和掉话等现象的解决方案。本章节根据某高铁和高速公路项目的实施优化效果,对提供PDT优化技术和优化策略进行论证。
  项目要求在铁路沿线建设PDT基站覆盖铁路沿线,解决车内PDT通信、车地之间PDT通信。PDT系统采用万格VT-3系统设备。
     VT-3系统基于IP组网,软交换架构,采用分布式数据库技术,单交换中心可支持256个基站联网,并可扩展。该项目在高速铁路和高速公路沿线六个地市分别建设了交换控制中心,以及近200PDT基站,交换中心与基站间采用E1链路(2M)。基站覆盖半径不小于3km,基站距离平均达到5km。基站呈链状覆盖,两基站之间都有重叠切换区。其网络示意图如图6所示。
图片
  某项目VT-3集群系统部署示意图
  各个基站设置1个控制信道,1个定位的业务信道。系统开户2000人,设置2个全线指挥保障组,2个铁路公安组,若干个本地调度组。凭借VT-3系统优化的越区切换机制,实现动车车内、沿线值勤、安保指挥中心随时随地通话。
     3.1       针对性优化方法
  在项目建设阶段对铁路和公路沿线网络进行详细测试,测试线中出现了切换、接通率低和掉话等现象。针对所出现的问题采用以下方法进行了优化。
     3.1.1邻近基站信息智能推送技术
      PDT系统最常用的业务是无线语音组呼业务,组呼业务的呼叫范围根据呼叫发起时刻组成员的活动范围进行动态分配,该种分配方式既可以保证有效的呼叫范围,同时也可以节省无线信道资源。在组呼通话过程中,参与本次通话的每个业务信道需要广播邻近基站参与本次通话的业务信道信息。广播的方式可以是业务信道周期性下发的方式,或者移动台主动查询的方式,或者两者兼而有之。本项目中采用根据参与基站的动态变化进行实时推送的方式。
  在组呼通话过程中,交换中心实时、动态地维护每个基站的邻近基站信息,当某一个基站的邻近基站信息发生变化时,交换中心自动、实时更新邻近基站信息,并且立即将更新后的邻近基站信息推送给该基站。邻近基站信息无变化的基站将不更新,降低系统的总体负荷。
  系统根据当前所有组成员的位置进行智能分配信道,因此当前通话组的参与基站是动态变化的,当有新增基站参与本次通话后,交换中心根据新增基站的位置,推算出该新增基站与现有参与通话的哪些基站是邻近基站,然后将该新增基站的业务信道信息推送给相关的其他基站,与该新增基站无邻近关系的基站,系统将不会推送变化的基站信息。
    3.1.2邻近基站信息广播技术
     PDT系统无线语音业务建立后,每个参与本次通话的基站如果配置了邻近基站,并且有邻近基站参与了本次通话,那么业务信道将按照一定的广播策略将参与本次通话的邻近业务信道信息在空口进行广播。本项目对广播邻近基站业务信道信息的策略进行了针对性的优化。
  为了适应快速移动场景,系统将提高广播邻近基站业务信道信息的频率。业务信道发送多个邻近基站信息指令P_BCAST,将所有邻近基站的业务信道信息广播完毕,然后再发送P_PROTECTPK=EN_PTT)指令,允许移动台申请PTT讲话,如此循环往复,以保证移动台能够快速获得参与本次通话的邻近业务信道信息。获得邻近基站的业务信道信息后,移动台将按照参与站方式进行越区切换,达到最快、最优的越区切换效果。
  同时为了确保有移动台正在讲话的时候其他移动台可以正常接收到邻近基站的业务信道信息,业务信道将同样在语音超帧的嵌入式信令中使用P_EMSD_BCAST广播邻近基站的业务信道信息。同时如果本次组呼是明文通话,则语音超帧中交替嵌入P_EMSD_BCAST和讲话方信息指令P_EMSD_GRPV;如果本次组呼是密文通话,则语音超帧中交替嵌入P_EMSD_BCAST、讲话方信息P_EMSD_GRPV和加密控制帧P_EMSD_E2EE
     3.1.3无线信道资源智能回收策略
  在无线语音通信过程中,参与本次通话的很多移动台都处于移动状态,由此可能导致某些基站内没有移动台驻留、参与通话,该基站的无线信道资源处于无用户状态,如果继续保持通话状态,将导致无线资源的使用浪费。
  本项目的系统中加入了无线信道资源智能回收策略,交换中心实时监测参与本次通话的所有移动台的实时位置,如果发现某一个基站内已经没有参与本次通话的有效活动用户,则交换控制中心自动向该基站发出信道回收指令,强制收回该基站的无线信道资源,最大限度地提高无线信道资源的利用率。
     3.1.4无线信道资源智能预分配技术
      PDT系统最常用的业务是无线语音组呼业务,组呼业务的呼叫范围根据呼叫发起时刻组成员的活动范围进行动态分配,该种分配方式既可以保证有效的呼叫范围,同时也可以节省无线信道资源。
  越区切换主要包括两大类场景:一种是越区切换到参与基站,另一种是越区切换到非参与基站。
  越区切换到参与站是指移动台在发起越区切换时,目的基站就是本次通话的参与基站,系统已经在目的基站分配了无线信道资源,当移动台在当前基站的信道弱到指定门限,并且目的基站的信号强度达到切换要求后,移动台可以直接切换到目的基站的业务信道载波上继续本次通话,该场景越区切换速度最快,效果最好。
  越区切换到非参与站是指移动台在发起越区切换时,目的基站并不是本次通话的参与基站,目的基站并没有为本次通话分配无线信道资源,此时移动台可以有两种选择,其一是在当前业务信道向系统发出申请,申请在目的基站为本次通话分配无线信道资源,然后等待系统分配成功后以广播信息的形式告知移动台,移动台获得目的基站的无线信道信息后,进行越区切换,其二是移动台直接切换到目的基站的主控信道,在主控信道发起业务恢复接入,申请分配无线信道资源,系统分配成功后,移动台转入目的基站新分配的业务信道,继续语音通话业务。越区切换到非参与站的场景下,选择一由于需要移动台发起申请并等待系统的回复,该交互的时间少则几百毫秒,多则几秒钟,而在高速移动的场景下将直接影响越区切换的效果和成功率;选择二由于需要切换到目的基站的主控信道,离开通话的业务信道,必将导致当前语音通话中断。
  本项目中为了保证移动台优先使用越区切换到参与站的方式,使用了无线信道智能预分配策略,该策略是在现有动态分配基站的基础上,为每个参与基站的邻近基站自动预分配无线信道资源。
  在组呼通话过程中,如果组成员发生越区切换或者有新的组成员开机并加入组呼,或者有新的移动台组附着到当前组呼,系统实时记录当前组呼的呼叫范围,同时检查当前组呼范围内每个基站的邻近基站,如果某一个邻近基站内没有组成员活动并且也没有参与本次呼叫的业务信道,则系统自动在该邻近基站为本次组呼分配无线信道资源,并通知相关基站的业务信道,更新邻近基站业务信道信息。但是由于该邻近基站内暂时没有组成员活动,因此不再继续检查该基站的邻近基站,避免组呼范围的无限扩大。当该邻近基站内有组成员进入后,则系统将继续检查该基站的邻近基站。
  该策略保证所有组成员当前所在基站的所有邻近基站均预先为本次组呼自动预分配无线信道资源,确保移动台在发生越区切换时,使用越区切换到参与站的方式,保证最优的越区切换效果。
     3.1.5移动台快速扫描策略
  移动台在待机状态下,当本基站的主控信道的无线信号场强降到预设的背景扫描临界值时,将启动后台的背景扫描机制,移动台扫描并记录每个邻近基站的主控信道的信号场强。如果主控信道的信号场强继续降低到越区切换临界值时,移动台将进行自动漫游,切换到无线信号最强的基站。
  如果移动台在通话过程中,当本基站的业务信道无线信号场强降到预设的背景扫描临界值时,将启动后台的背景扫描,移动台扫描并记录每个邻近基站的参与本次通话的业务信道的信号场强。如果业务信道的信号场强继续降低到越区切换临界值时,移动台将发生越区切换,自动切换到无线信号最强基站的业务信道继续通话。
  移动台背景扫描策略的好坏直接影响到漫游和越区切换的速度和效果。
  移动终端的扫描临界值和切换临界值一般根据工程经验或实际电测来定,如临界值设为-85dbm,切换值设为-90dbm。系统也可根据基站的覆盖情况指定各基站的临界值,通过邻近基站的广播信息发送到终端。
  扫描一个邻近基站一次所需时间为60ms,一般需要多次扫描确认(如连续3次扫描的同一基站信号符合要求),才认为该基站达到切换条件,终端在扫描时,需权衡扫描时间、扫描间隔、如何扫描多个邻近基站等多方面因素,需要一定的策略确保扫描既快又准。对于铁路沿线,各基站的邻近基站一般只有2-4个,通常扫描时间在2秒左右,对时速180km的动车,终端在当前基站临界值开始启动扫描,大概行驶100m即能完成扫描。
     3.1.6高效的随机接入机制
     PDT系统的各种业务呼叫采用邀请/随机接入机制,PDT系统主控信道周期性下发随机接入邀请信令(ALOHA),邀请有业务需求的移动台发送业务请求指令(RAND)。
     ALOHA信令中携带多个接入参数,可以用于控制移动台的各种呼叫请求和随机接入效果,C_ALOHAPDU结构如下:
 

信息单元名
长度
(比特)
说明
LB
1
12
CSBK信令帧
PF
1
02
保留将来使用
CSBKO
6
0110012
控制信令命令码
FID
8
000000002
SFID
RSVD
2
0
系统保留
AIETYPE
2

系统保留,预留给加密设备,见相关安全标准
RSVD
1
02
系统保留
UP
2


ACTC
1
02
单基站
12
联网基站
MASK
5
024
地址限定位,
SF
2
002
邀请所有业务随机接入
012
邀请业务信道的随机接入申请业务或邀请随机接入登记
102
邀请非业务信道随机接入的申请业务或邀请随机接入登记
112
仅邀请随机接入登记或紧急语音业务
WT
4


REG
1
02
移动台激活不需要登记
12
移动台激活需要登记
Backoff
4


SIC
16


ADDR
24

目的MS个人地址

其中MASKSFWTBackoff可以用于调整移动台的随机接入参数,各参数说明如下:

  • BackOff:重发退避TDMA帧长。当移动台的呼叫请求未得到系统的回复,导致呼叫超时后,取1-BackOff之间的一个随机数作为延时时间,重发呼叫请求。超过一定的重试次数后,移动台判定本次呼叫失败。
  • WT:随机接入响应定时等待时隙数。移动台发起呼叫请求后,在WT时间内,必须得到系统的明确响应结果。如果超过WT时间移动台仍然没有收到系统的响应结果,则判定本次呼叫超时,启动重发机制。
  • Taddr/Mask:邀请目的用户地址和比特地址掩码。这两个参数类似与INTERNET网络中的IP地址和网络掩码,只有匹配TADDRMASK地址的用户才允许接入当前系统。
  • SF:邀请的随机接入业务种类。


在高并发场景下,例如大量移动台同时登记注册,在短时间内,大量的呼叫请求产生,多个呼叫请求产生碰撞在所难免,请求数量越多,发生碰撞的概率越大。一旦呼叫请求信令产生碰撞可能导致碰撞的信令都出现错误,这些请求可能不能被正确解析,导致呼叫失败。此后,移动台将根据ALOHA信令中接入参数随机延时一定时间后,重新发起呼叫请求,如此反复。如果超过一定重试次数,请求仍然不能成功,则判定本次呼叫失败。
本项目中加入了动态调整随机接入参数的策略。系统在处理各种呼叫业务的过程中,实时统计系统当前的负载状态,以主控信道的各种信令作为参考,主要包括:业务发起和呼叫指令C_RAND、短数据业务指令C_UDTHU和恢复接入指令C_RESTORE。根据当前的负载状态动态调整ALOHA信令中的一个或者多个随机接入参数,降低系统的负载和信令碰撞的概率。如果系统的负载变高,碰撞的概率也相应的增加,那么系统可以:

  • 通过调整BACKOFF参数降低呼叫请求碰撞的概率,
  • 通过调整WT可以降低移动台重发请求的间隔时间,给系统更多的业务处理时间,
  • 通过调整TADDR/MASK,限制一部分移动台的呼叫请求,从而降低系统负载和呼叫碰撞的概率,
  • 也可以通过SF邀请更少的业务请求,从而也可以降低系统负载和呼叫碰撞的概率。


  反之,如果系统的负载在降低,那么系统可以反向调整这四个参数。
      3.2     优化结果
  通过对路测数据和系统数据分析,网络的切换成功率、掉话失败、接通失败得到了较好的改善。
     3.2.1切换优化结果
  通过以上优化方法,基站间切换成功率有大幅度的提升。高速公路切换成功率由64.23%提升到98.41%,高铁由58.55提升到95.95%。路测数据数据分析如下:
 

项目
优化前切换总次数
优化前切换成功次数
优化后切换总次数
优化后切换成功次数
高速公路
137
88
126
124
高铁
152
89
148
142


图片3.2.2掉话优化结果
  通过以上优化方法,终端掉话次数有较好的改善。高速公路掉话次数由优化前的27次较低到3次,高铁由由优化前的42次较低到6次。路测数据数据分析如下:
 

项目
优化前掉话次数
优化后掉话次数
高速公路
27
3
高铁
42
6

 
图片
      3.2.3接通率优化结果
  通过以上优化方法,终端接通失败有较好的改善。高速公路接通失败次数由优化前的9次较低到1次,高铁由由优化前的15次较低到2次。路测数据数据分析如下:
 

项目
优化前接通失败次数
优化后接通失败次数
高速公路
9
1
高铁
15
2

 
图片

四、全文总结

4.1       主要结论

项目在六个地市分别建设了交换控制中心,近200PDT基站,建成的通信系统覆盖了某铁路和高速公路沿线及其周边重点区域,通过不断对以上6项技术策略的研发和优化,
首先,开创了区域合作通信指挥调度的先河:首次实现多地市指挥调度一体化,解决了高速移动中无法多地地统一指挥的难题,满足跨区域统一调度的通信需求。
其次,开创了高速移动专业通信的先河:攻破了高速列车上实时状态显示和语音通信的难题,达到列车高速移动时添乘人员与地面指挥中心的实时高质量通话,开创了全国警用数字集群PDT系统高速列车与地面实时通讯的先河。
通过对网络的规划和优化,网络质量已经达到了较好效果。目前项目已建设完成正式投入实战应用,在多次重大保障任务中均发挥了不可替代的作用,并在全国多个地市的地铁项目中也得到了成功应用,解决了地铁列车运行中频繁切换的难题。
4.2       研究展望
基于已经取得的技术成果,后期可以将该技术和优化方案推广到全国的铁路线路和高速线路上,也可以将该方案应用到其他高速移动的应用场景,尤其包括高速公路、轨道交通等其他高速运行环境和场景。项目成果同样适用于普通的PDT建设项目,将大大提升PDT系统的性能和使用效果。
总的来说,警用数字集群(PDT)通信系统在高速移动中场景的成功应用,将在很大程度上扩展警用数字集群通信的应用范围,同时将大幅度提升PDT通信系统的系统性能,将为全国公安通信保障提供更有力支撑。



(中国集群通信网 | 责任编辑:陆涛)

中国集群通信网,国内首家集群通信专业网站。

Copyright © PttCn.Net, All Rights Reserved.   

联系我们 联系我们 中国集群通信网 对讲机学堂 对讲机世界